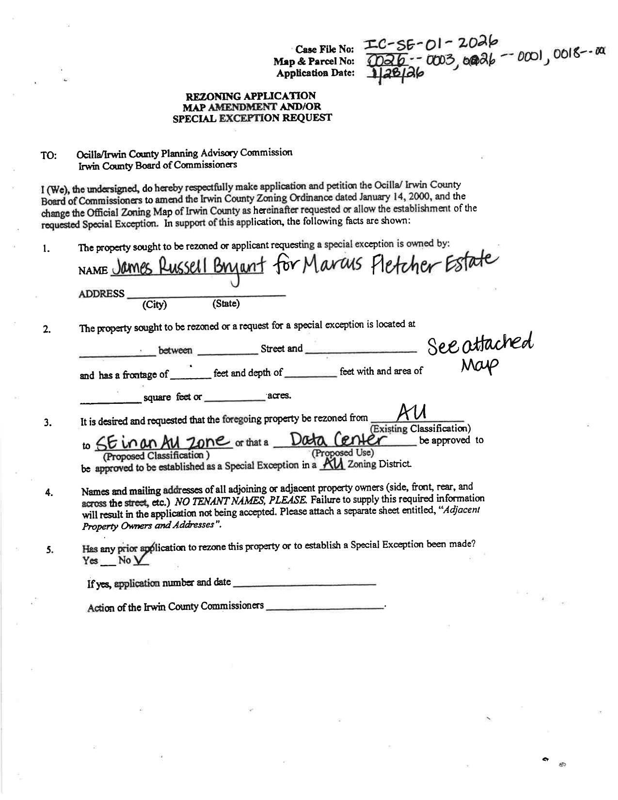
SPECIAL EXCEPTION REQUEST by James Russell Bryant for Marcus Fletcher Estate
SER
Packet: Irwin Forward Datacenter Public Hearing, Ocilla-Irwin County Planning Advisory Commission
26 February 2026
smaller
PDF