[prev][index][next]

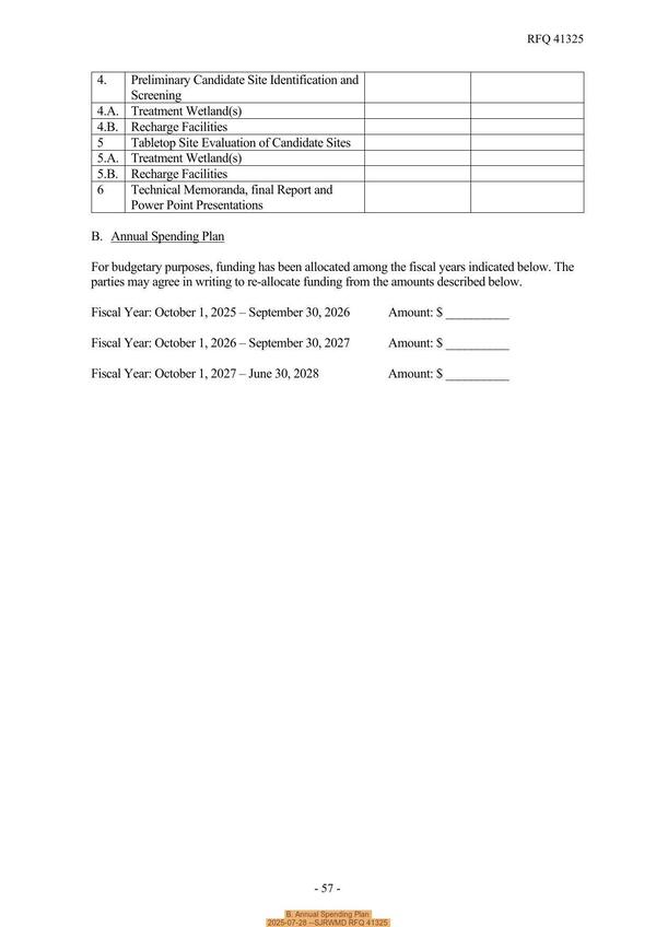
B. Annual Spending Plan, 2025-07-28 --SJRWMD RFQ 41325

AttA
Water First North Florida wetland locations: unknown --SRWMD
17 December 2025
 
B. Annual Spending Plan, 2025-07-28 --SJRWMD RFQ 41325
bigger PDF