[prev][index][next]

Page 82

P4
Draft reissuance Tifton wastewater permit --GA-EPD
30 August 2018
 
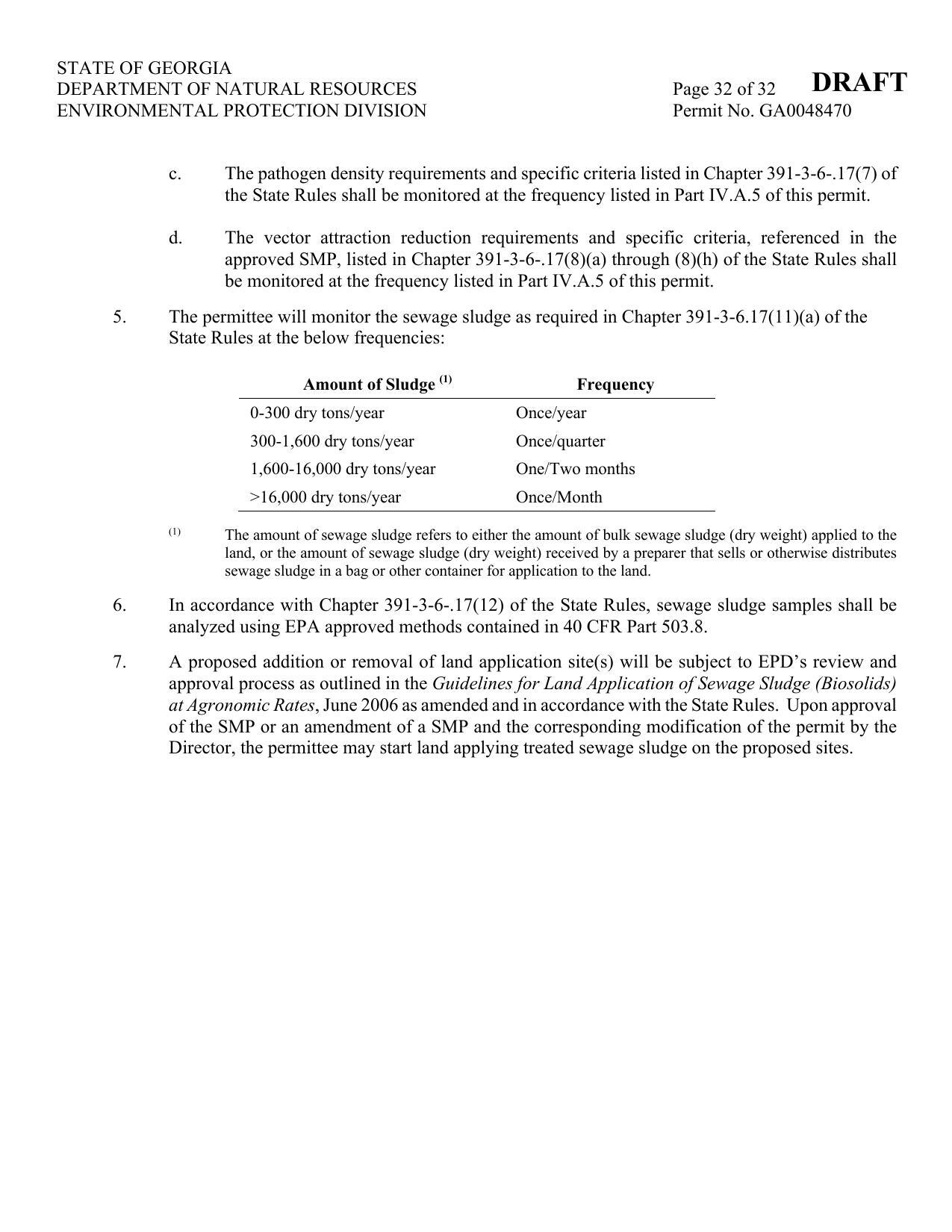
Page 82
smaller PDF