[prev][index][next]

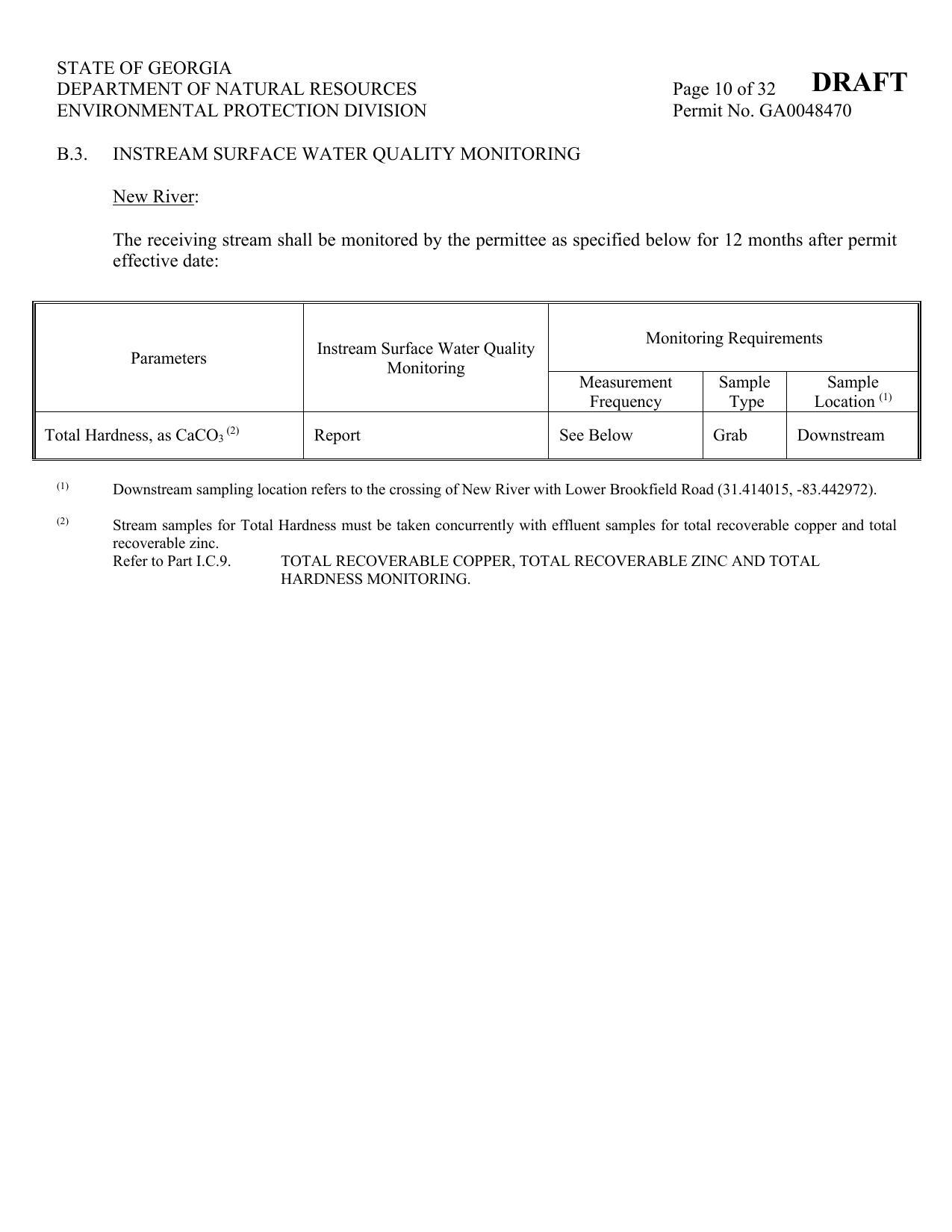
B3. INSTREAM SURFACE WATER QUALITY MONITORING

P1
Draft reissuance Tifton wastewater permit --GA-EPD
30 August 2018
 
B3. INSTREAM SURFACE WATER QUALITY MONITORING
smaller PDF