[prev][index][next]

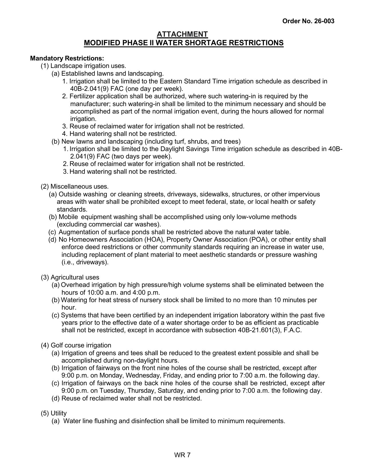
ATTACHMENT: MODIFIED PHASE II WATER SHORTAGE RESTRICTIONS

PH
Packet: with Public Hearing on Modified Phase II Water Shortage Order @ SRWMD
14 April 2026
 
ATTACHMENT: MODIFIED PHASE II WATER SHORTAGE RESTRICTIONS
smaller PDF