[prev][index][next]

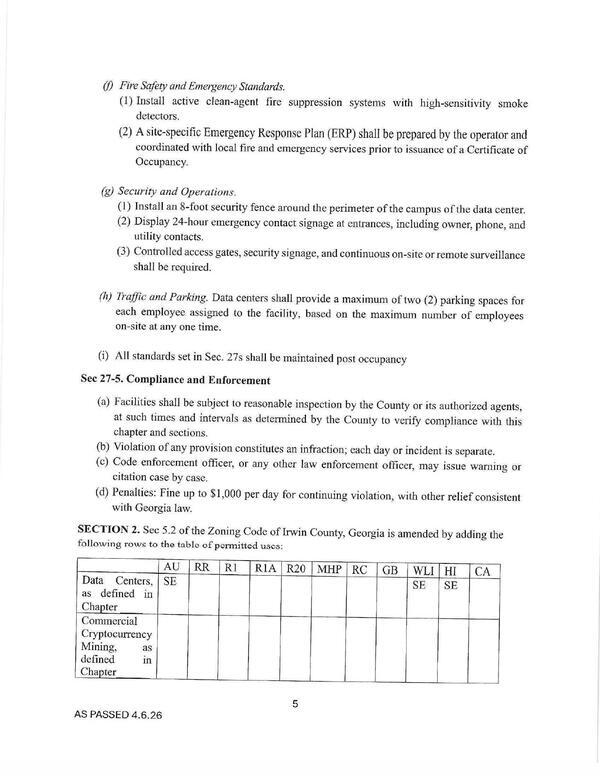
Sec. 27-5. Compliance and Enforcement

DCO
Signed Irwin County Datacenter Ordinance
6 April 2026
 
Sec. 27-5. Compliance and Enforcement
bigger PDF